赤峰市人民政府
丨
喀喇沁旗人民政府
登录/注册
用户中心
蒙文版
无障碍浏览
搜本站
搜本站
搜平台
网站首页
走进喀喇沁
政务公开
互动交流
办事服务
网站首页
走进喀喇沁
政务公开
互动交流
办事服务
公告公示
首页
>
公告公示
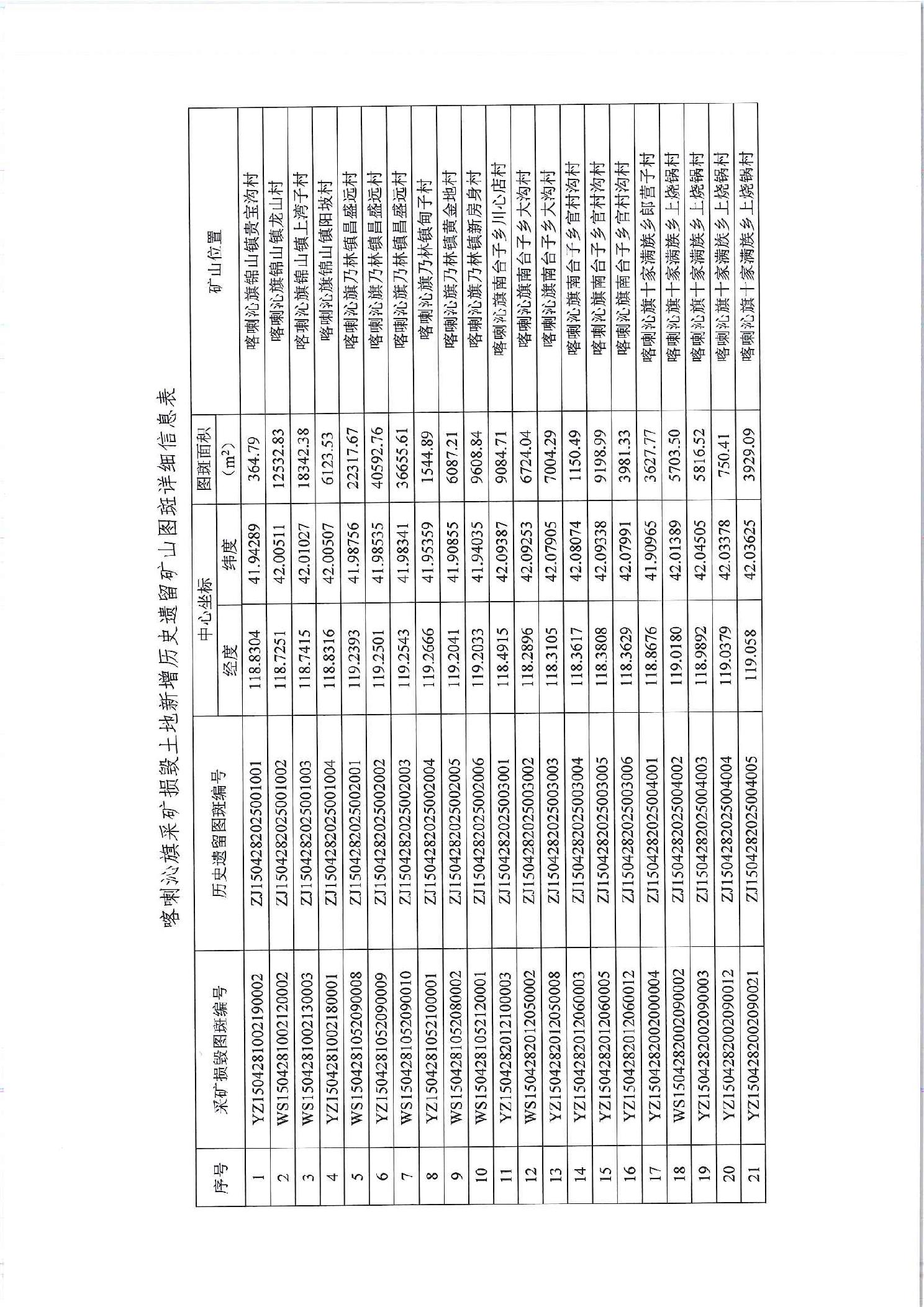
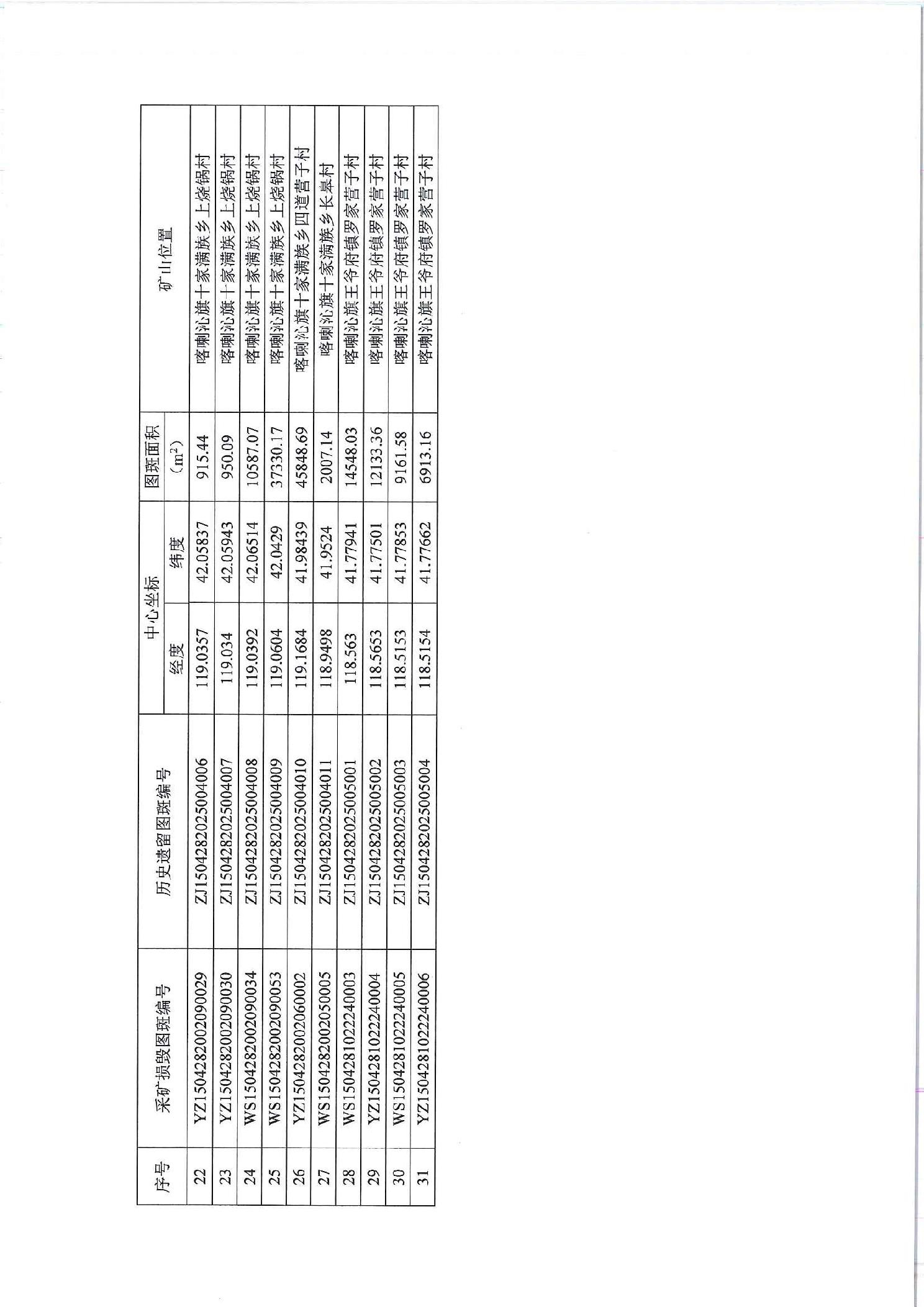
喀喇沁旗自然资源局关于采矿损毁土地新增历史遗留矿山图斑进行认定的公告
来源:喀喇沁旗自然资源局 发布时间:2026-03-19 15:01
分享:
X